Thank you for correcting the text in this article. Your corrections improve Papers Past searches for everyone. See the latest corrections.

This article contains searchable text which was automatically generated and may contain errors. Join the community and correct any errors you spot to help us improve Papers Past.

Article image
Article image
Article image
Article image
Article image
Article image

"MY LUCKY YEAR" ART UNION

£2000 To Christchurch WELLINGTON, last night. "My Lucky Year" Art Union was drawn to-day. Results: — First, ^2000—13,20218, Metl^., Christchurch. Second, £500 — 226284, Rabbits, Wanganui. Third, £250— 2091'06, "Seapore,'! Tariki, Taranaki. Fourth, £150' — tTerraplane, Whakatane butt. Fifth, £100—160477, Miss D. Robson, Remuera. £10 Prizes '13012 14068 20111 20749 " 21626 23590' 23791 39633 50170 50577 89377 95751 97738 99739 . 99751 112456 130423 133511 141500 161235 162581 163701 178185 179518 186141 201690 202258 202758 20368 212345 230896 231096 238913 239689 25-6360 257002 257451 258746 262668 263915.

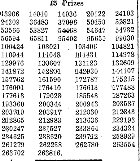
£5 Prizes '13906 14010' 14036 20122 24103 24309 36483 37096 50150 52821 53566 53827 -54468 54647 54732 56594 65811 95402 95650 99030 100424 103021 . 103406 104821 110944 111048 1111431 114978 129976 130607 131123 132609 141872 112801 .'142930 144107 157762 161590 172787 175215 176001 176410 176613 1177488 177613 179028 185543 187263 193360 200344 200943 203587 203719 203917 ' 212030 '212843 2112865 212983 213636 229193 2'30!247 23J527 233864 234324 234625 238620 239712 • 258929 261279 262258 '262780 263554 263702 263816.

Permanent link to this item
Hononga pūmau ki tēnei tūemi

https://paperspast.natlib.govt.nz/newspapers/RMPOST19470130.2.49

Bibliographic details
Ngā taipitopito pukapuka

Rotorua Morning Post, Issue 5315, 30 January 1947, Page 6

Word count
Tapeke kupu
164

"MY LUCKY YEAR" ART UNION Rotorua Morning Post, Issue 5315, 30 January 1947, Page 6

"MY LUCKY YEAR" ART UNION Rotorua Morning Post, Issue 5315, 30 January 1947, Page 6

Help

Log in or create a Papers Past website account

Use your Papers Past website account to correct newspaper text.

By creating and using this account you agree to our terms of use.

Log in with RealMe®

If you’ve used a RealMe login somewhere else, you can use it here too. If you don’t already have a username and password, just click Log in and you can choose to create one.


Log in again to continue your work

Your session has expired.

Log in again with RealMe®


Alert