Thank you for correcting the text in this article. Your corrections improve Papers Past searches for everyone. See the latest corrections.

This article contains searchable text which was automatically generated and may contain errors. Join the community and correct any errors you spot to help us improve Papers Past.

Article image
Article image
Article image
Article image

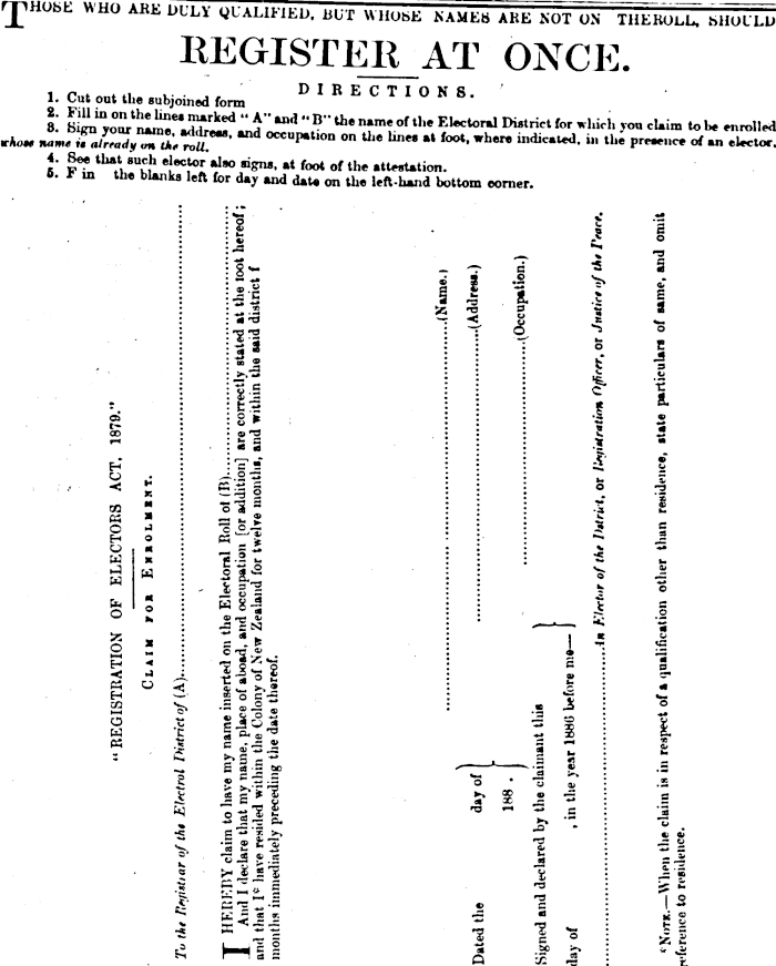
WHO ARE DULY QUALIFIED. BUT WHOSE NAMES ARE NOT ON THEROLL. SHOULD REGISTER AT ONCE. 1. Cut out the subjoined form DIRECTIONS. 3. j ’ and "P U,e n “ rn ? ° f tb * Electoral I>istrict for which you claim to be enrolled who* mime .Wreody „„ tk,*lu occupation on the lines at foot, where indicated, in the presence of an elector. 4. See that such elector also signs, at foot of the attestation. 6. tin the blanks left for day and date on the left-hand bottom comer. W < '=■ ■5 i I I T « I I 1 ' -1 l o

WELLINOTON MASTE ETON ' Flaj; Stations stop by Signal only. Passengers wishing to alight at any ot the Stations must give notice to the Guard at the previous station. To ADVERTISERS. Advertisements will be received up till 1 r.a. on 'JYkshays and Fhdays at the Office of the “ Stak." Pahlati a.

Permanent link to this item
Hononga pūmau ki tēnei tūemi

https://paperspast.natlib.govt.nz/newspapers/PSEA18861203.2.24.1

Bibliographic details
Ngā taipitopito pukapuka

Pahiatua Star and Eketahuna Advertiser, Volume 1, Issue 51, 3 December 1886, Page 4

Word count
Tapeke kupu
146

Page 4 Advertisements Column 1 Pahiatua Star and Eketahuna Advertiser, Volume 1, Issue 51, 3 December 1886, Page 4

Page 4 Advertisements Column 1 Pahiatua Star and Eketahuna Advertiser, Volume 1, Issue 51, 3 December 1886, Page 4

Help

Log in or create a Papers Past website account

Use your Papers Past website account to correct newspaper text.

By creating and using this account you agree to our terms of use.

Log in with RealMe®

If you’ve used a RealMe login somewhere else, you can use it here too. If you don’t already have a username and password, just click Log in and you can choose to create one.


Log in again to continue your work

Your session has expired.

Log in again with RealMe®


Alert