Thank you for correcting the text in this article. Your corrections improve Papers Past searches for everyone. See the latest corrections.

This article contains searchable text which was automatically generated and may contain errors. Join the community and correct any errors you spot to help us improve Papers Past.

Article image
Article image
Article image
Article image
Article image
Article image
Article image
Article image
Article image
Article image
Article image
Article image
Article image
Article image

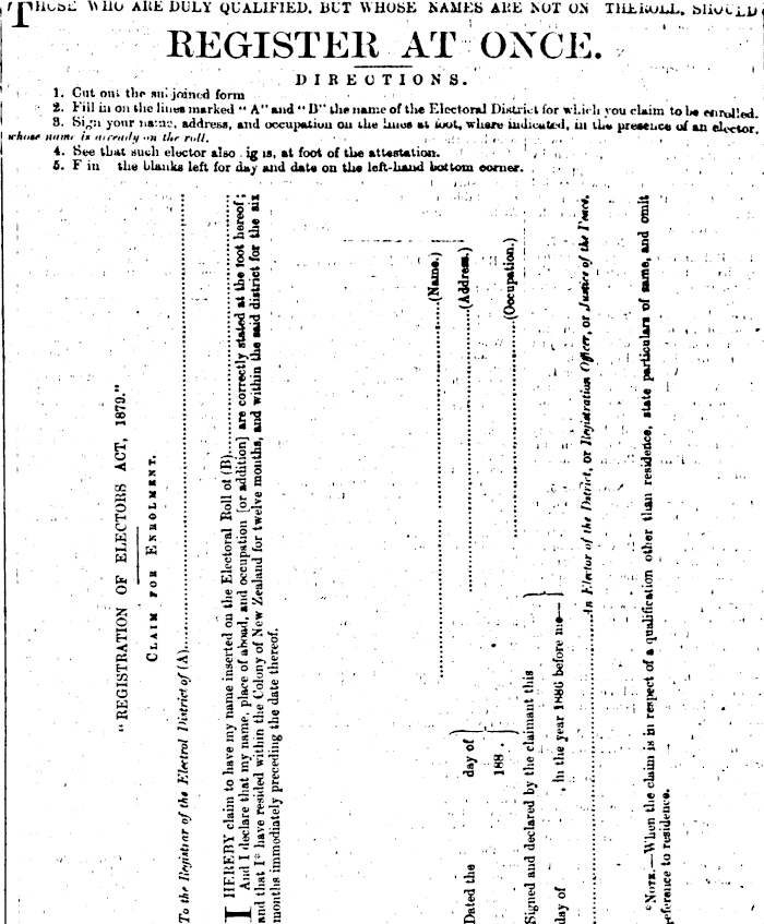
REGISTRATION OF ELECTORS ACT, 1879.’ Ci.aih rou Ekuolxikt. Ti> thr Hryitttnr of tht Elrrtrol lKrtriet of (A) I HEREBY cluim to have my name inserted on the Electoral Roll ot (B) Ami I declare that my name, place of a Hoad, and occupation [or addition] are correctly stated at the toot hereof; and that I : have resided within the Colony of New Zealand for twelve months, and within the said district for the six months immediately preceding the date thereof. Dated the ...(Name.) .(Address.) (Occupation.) day of 188 . Signed and declared by the claimant this | day of , ill the year 1880 before me— I k t I'tnrt. ‘ Not*. —When the claim is hi res|ieet of a ipialitieation other tlian residence, state particulars of same, and omit reference to residence. C> da i vS Mi *-» * * 5 cr-' = S s-^Sg. "e; - t'S „ £ 3 o o ' « * ** Z. zr ?UHI £.»,&« Z C EC ’ ' i 3 * 2 • 3 % t e--. 5 : s V 0J c. > I ? s Cm g, <*s r - £ c a* r? U : go 5 : if it i* i r! fc o F. « n. * & If r! si g-2. ■5 c 1 t 2 ? 6.® E * IK-Si; Milo ARE DULY QUALIFIED. BUT WHOSE NAMES ARE NOT ON THELoiX, Mi REGISTER AT ONCE.

WELLINGTON-MASTKRTON RAILWAY TIME TABLE.

NOTICE. rpHE “ PAHIATUA STAR” will 1 be issued on Tuesdays and Fridays at 4 p.m. IT is a First-Class Medium for Advertisements, being thoroughly circulated amongst the Settlers of Pahiatua and Eketahuna. Everybody should support the Local Paper. Rates op Advertising : 3/inch, One Insertion ; 51/- per inch subsequent insertions. Births, Deaths, and Marriages, 8/-. Standing Advertisements as per Arrangement. SETTLERS ok PAHIATUA anu EKETAHUNA study your interests and subscribe with “ Star,” which contains Articles on CURRENT TOPICS, LOCAL NEWS. TELEGRAPHIC NEWS. CABLE NEWS. Full reports of Meetings of local Bodies, Entertainments, Ac. TERMS ok SUBSCRIPTION. £1 per Annum payable in advance, or (»/G per quarter booked. Ten per cent, charged on Accounts over Three Months Subscribers Solicited. •• STAR” OFFICE PAHIATUA. PAHIATUA STAR AND EKETAHUNA ADVERTISER. Printing and Publishing Okkice, PAHIATUA. Jobbimo Department. Ip VERY Description of Printing st Reasonable Rates. Promptitude, Neatness, and Despatch.

.TOR thcExcallence of our Mimu L fact ures wo have received the fol lowing Award* :—Vienna Exhibition" 1878, Diploma of Merit; South Afiicatt Exhibition, 1877, Gold Medul ; Paris Exhibition, IH7B, Gold Medal; Sydney Exhibition. 1H7!I. First-Class I iinlomu: Mel lion me Exhibition. Ikm 1. F'. st-('lass Award ; Amsterdam Kxbi--0 jolt. 1888, Gold Mesial ; Calvutln i'lvliihitiou, 1888, Gold Medal. The ONLY ONE awarded to any Tin plate Manufacturer. E. P. A W. BALDWIN. W mines \\ol:aa, near STnuaeoaT. Sheet Iron. Branded "Baldwin—Wil den,” “ Severn,” and •• Shield." Tin Plates, Branded •F.r A WB” \VH, “ Wildrn, ’ •• I’niecm," ’• Arley Crown," Stour. Notice.—Our Plates are especially adapted for Muat Tinning, lieing coated witli pure tin and free from all injurious ngredicata. Export Agents—Bronker, Dore A Co. Corbcrt Court, Lontlon, E.C. TO CORRESPONDENTS. Write aliout anything of Fuhtic Interest. Write on One side ot the PAPER only. Address Communications w itliCopy

SKIN DISEASES aru of two kinds: Firstly, those which are only skin deep (which ure not now to U considered) ; secondly, those which are caused hy a had state of tin blood, and winch attack various parts of the Isxly in different ways. Skin disease show itself in the head, sometimes in the form of dandruff which no amount I of brushing and combing will get rid of, and some times m the form of scaly eruptions. In the neck, hy an enlargement of the "lauds (commonly called glandular swellings i, which if unI checked become very unsightly wounds. In the armpits, and the inside of tin elbows, by an iutUuied roughness of the skin, which is very painful when washed. In tile hands, by deep cracks or fissures, w Inch, if healed for a few days, speedily open aguiu. or by horny ooking patches, l'.i the legs, by iiard skinuy and uitlained swellings. or by wounds more or less deep. And on the liody. in red scaly patches, which as often as rubbed off. form again. or in the discliarge of a thin, watery tluid of a very disagreeable nature. In ail these cases the treatment must lie twofold. An ointment required to relieve telling, and medicine must ls> taken to change the stale of the blood, and render it pure. Doth these requirements are supplied by I>r. Kolwrla eelibrated medicines, the ointment called " The Poor Man’s Friend.” and the pills, culled Pilulie AnU-Scropliula or Alterative lNlls. These two medicines have now stood the test of KM) \e«rs Inal, having been introduced to the public in the latter part of the last century. They may be obtained of all chcini«ls. or of the proprietors, I DEATH A BARN'ICOTT. Dndport. I>orset. Price Is lfl, 2s i*d. Us and 22s t each. Footage Lvtis.

* Mur Station* stop by Signal only. Pa*s< ngers wishing to alight at any o! the Stations must give notice to the Guard at the previous station. To ADVERTISERS. Advertisements will be received up till 1 r.n. on Tuksdays and Friday* at the Office of the “ bias." Fajuatva.

Support Local Industrie* by sending your Printing to the •• Star.'' All Kindsot .Job Printing undertaken and executed prcmptly in the latest style. Bill-heads. Memorandum Forms. Timber Delivery Books, Account Sales. Day Books. Receipt-Books, Bill-Books. Concert and Ball Tickets. Ball Programmes, Business Cards, Notice Forms. Circulars, Vouchers, Nomination Papers, Ballot Papers Pamphlets. Balance Sheets, KnU rtainiin nt Tickets. Poitiers, Ac. Support I>k-h1 Industry and gel your Printing done at the •* S'tak" (.mice. STAR” OFFICE, PAHIATCA.

Permanent link to this item
Hononga pūmau ki tēnei tūemi

https://paperspast.natlib.govt.nz/newspapers/PSEA18861112.2.21.3

Bibliographic details
Ngā taipitopito pukapuka

Pahiatua Star and Eketahuna Advertiser, Volume 1, Issue 45, 12 November 1886, Page 4

Word count
Tapeke kupu
925

Page 4 Advertisements Column 3 Pahiatua Star and Eketahuna Advertiser, Volume 1, Issue 45, 12 November 1886, Page 4

Page 4 Advertisements Column 3 Pahiatua Star and Eketahuna Advertiser, Volume 1, Issue 45, 12 November 1886, Page 4

Help

Log in or create a Papers Past website account

Use your Papers Past website account to correct newspaper text.

By creating and using this account you agree to our terms of use.

Log in with RealMe®

If you’ve used a RealMe login somewhere else, you can use it here too. If you don’t already have a username and password, just click Log in and you can choose to create one.


Log in again to continue your work

Your session has expired.

Log in again with RealMe®


Alert