Thank you for correcting the text in this article. Your corrections improve Papers Past searches for everyone. See the latest corrections.

This article contains searchable text which was automatically generated and may contain errors. Join the community and correct any errors you spot to help us improve Papers Past.

Article image
Article image
Article image
Article image
Article image
Article image
Article image
Article image

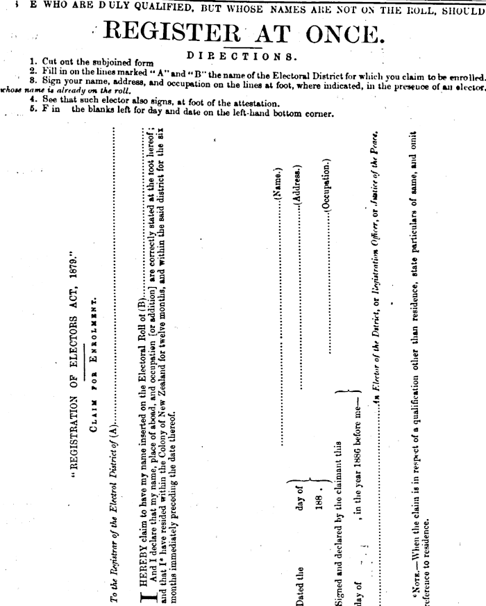
M “REGISTRATION OP ELECTORS ACT, 1879.” Claim for Enrolment. To the lieijistrnr of the Electrol District of (A) I HEREBY claim to have my name inserted on the Electoral Roll ot (B) And I declare that my name, place of aboad, and occupation [or addition] are correctly stated at the toot hereof; and that I* have resided within the Colony of New Zealand for twelve months, and within the said district for the six months immediately preceding the date thereof. Dated the day of | 188 . Signed and declared by the claimant this day of ,in the year 188 G before me— fn ..(Name.) .•Address.) (Occupation, i Elector of the Dstrict, or Ilajist ration Officer, or .hut ice of the Pence, Notk.—When the claim is in respect of u qualification other than residence, state particulars of same, and omit reference to residence. eiai »isw *,**=^o o'* f- = = cS. S g o ~ E - ~ r«- ® * << 3“ g.« S.S E & e j 5 : S «' E* g 3 £L 3 s’ P ° F §* 1 i §*B Hjf S'a. s =3 l> S -* 8 m' C- a 0 3 S> J t C H fw S 3 - 3 2, ff o' S'? | „ 3 3* g a Ist * S' H 3 2 K * S. 9 3 o 5 mT s| * 1 n ii - W O M GO H W W § * a o > 7) M © <s f H I w cc O £ 3 s o

SKIN DISKASKS are of two kinds: Firstly, those which are only skin deep (which are not now to be considered) ; secondly, those which are caused by a bad state of the blood, and which attack various parts of the l>ody in different ways. Skin disease show itself in the head, sometimes in the form of dandruff which no amount of brushing and combing will get rid of, and sometimes in the form of scaly eruptions. In the neck, by an enlargement of the glands (commonly called glandular swellings I, which if unchecked become very unsightly wounds. In the armpits, and the inside of the elbows, by an inflamed roughness of the skin, which is very painful when washed. In the hands, by deep cracks or fissures, which, if healed for a few days, speedily open again, or by homylooking patches. In the legs, by hard skinny and inflamed swellings, or bywounds more or less deep. And on the body, in red scaly patches, which as often as rubbed off, form again, or in the discharge of a thin, watery fluid of a very disagreeable nature. In all these cases the treatment must be twofold. An ointment required to relieve telling, and medicine must be taken to change the state of the blood, and I render it pure. Roth these requirements are supplied by l>r. Roberts’ celibrated medicines, the ointment called •• The Poor Man's Friend," and the pills, called Pilulic Anti-Scrophuhe or Alterative Pills. These two meeliI cines have now stood the teat of 100 years' trial, having been introduceel to the public in the latter part of the last j century. j They may be obtained of all chemists, or of the proprietors, ! BEACH A BAUNICOTT. Bridport, Dorset. Price Is ljd, 2s ‘Jd, lls and 22s j each. Postage Extra. HOLLOWAYS PILLS. THIS Great Household Medicine ranks amongst the leading neces ) saries of life. These famous Pills punfy the Blood, j and act most powerfully* yet sooth I ingly on the Laver, Stomach, Kidneys, and Bowels, giving tone, energy, and i vigour to these great Main Sraiscis of i Lira. They are confidently recom- | mended as a never-failing remedy in ; all cases where the constitution, from whatever cause, has become unpaired : and weakened. They are wonderfullv efticacious in all ailnu-uts incidental to , Females of all ages ; and as a General I Family Medicine, are unsurpassed. HOLLOWAY’S OINTMENT. Its Searching and Hualmg Properties i are known throughout the World. For the cure of Bad Legs, Bail Breasts, j Old Wounds, Sores and I’lcers, it is an infallible remedy. If effectuallyrubbed on the neck and chest, as salt into meat, it Cures Sore Throats, Bronchitis, Coughs. Colds, and even Asthma. For Glandular Swellings Abscesses, Piles, Fistulas, Gout. Rheumatism, and every kind of Skill Disease it has never been known to (ail. The Pills and Ointment are manufactured only at "H. New Oxford St., (late 588 Oxford St. | London ; And are sold by all Vendors of Medicines. throughout the Civilised World ; with directions for use in almost every I language. fcrf*Purcha»ers should look at the Label on the Pots and Boxes. If the I address is not 88 Oxford Street, Lou-

NOTICE. THE “ PAHIATUA STAR” will be issued on Tuesdays and Fridays at 4 p.m. IT is a First-Class Medium for Advertisements, being thoroughly circulated amongst the Settlers of I’uhiatua and Eketahuna. Everybody should support the Local Paper. Rates of Advertising : —8- per inch, One Insertion ; 2/- per inch subsequent insertions. Births, Deaths, and Marriaoes. 8/-. Standing Advertisements as per Arrangement. SETTLERS of PAHIATUA and EKETAHUNA study your interests and subscribe with “Star," which contains Articles on CURRENT TOPICS, LOCAL NEWS, TELEGRAPHIC NEWS, CABLE NEWS. Full reports of Meetings of Local Bodies, Entertainments, Ac. TERMS of SUBSCRIPTION, £1 per Annum payable in advance, or 6/6 per quarter booked. Ten per cent, charged on Accounts over Three Months Subscribers Solicited. "STAR” OFFICE PAHIATUA. PAHIATUA STAR AND EKETAHUNA ADVERTISER. Printing and Publishing Office, PAHIATUA. Jobbino Department. EVERY Description of Printing at Reasonable Rates. Promptitude, Neatness, and Despatch. Support Local Industries by sending your Printing to the " Star." All Kindsot Job Printing undertaken and executed promptly ut the latest style. Bill-heads, Memorandum Forms, Timber Delivery Books, Account Sales. Day Books. Receipt-Books, Bill-Books, Concert and Ball Tickets, Ball Programmes, Business Cards, Notice Forms. Circulars. Vouchers, Nomination Papers, Ballot Papers 1 Pamphlets. Balance Sheets, Entertainment Tickets. Posters, Ac. Support Local Industry and get your Printing done at the “ Star" Office.

MAP OF WOODVILLE. COPIES of the abov* by Mr A. Jarman, can be obtained at tbe

Permanent link to this item
Hononga pūmau ki tēnei tūemi

https://paperspast.natlib.govt.nz/newspapers/PSEA18860903.2.23.3

Bibliographic details
Ngā taipitopito pukapuka

Pahiatua Star and Eketahuna Advertiser, Volume 1, Issue 26, 3 September 1886, Page 4

Word count
Tapeke kupu
995

Page 4 Advertisements Column 3 Pahiatua Star and Eketahuna Advertiser, Volume 1, Issue 26, 3 September 1886, Page 4

Page 4 Advertisements Column 3 Pahiatua Star and Eketahuna Advertiser, Volume 1, Issue 26, 3 September 1886, Page 4

Help

Log in or create a Papers Past website account

Use your Papers Past website account to correct newspaper text.

By creating and using this account you agree to our terms of use.

Log in with RealMe®

If you’ve used a RealMe login somewhere else, you can use it here too. If you don’t already have a username and password, just click Log in and you can choose to create one.


Log in again to continue your work

Your session has expired.

Log in again with RealMe®


Alert