Thank you for correcting the text in this article. Your corrections improve Papers Past searches for everyone. See the latest corrections.

This article contains searchable text which was automatically generated and may contain errors. Join the community and correct any errors you spot to help us improve Papers Past.

Article image
Article image
Article image
Article image
Article image
Article image
Article image
Article image
Article image
Article image
Article image
Article image

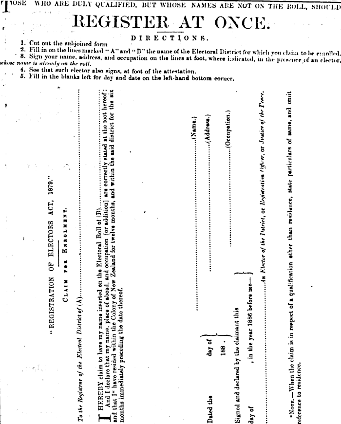
"REGISTRATION OF ELECTORS ACT, 1879." Claim re 1 Enrolment. To the Registrar of the Electrol District of (A) I HEREBY claim to have ray name inserted on the Electoral Roll ot (B) And I declaro that my name, place of aboad, and occupation [or addition] are correctly stated at the toot hereof; and that I* have resided within the Colony of New Zealand for twelve months, and within the said district for the six months immediately preceding the date thereof. Dated the day of ..I Name, i .! Address, i 188 . Signed and declared by the claimant this day of , in the year 1888 before me— (Occupation. I Elector of the Pitrict, or l!*ii*triiti‘m t t/ficer, or luttice of the Pence. sr cr 2ST s n * » I? N *■ I 3 S i* w “ 1 7.i!0 2.,“ g'O I § 2 5 *1 “ Sr r- 5 s 2 1* 5. 5 ?§- ? lit >— * i 1 r? - —3 g : 3 H- > s? 2 g. 1 : C - 3 o = a R • TL cr 4 5 5 2 5 - B » ® *3 * r’ ° O ■jt r. ’2 " 3* | 3 3 3 » « I f 2-3 ;L2. K «rv L ei /■s H- > I—l 5 X s H fV 3 O § * s n s c • H *Notf..—When the claim is in respect of a qualification ether than residence, state particulars of same, and omit reference to residence. 3 2.

R WELLINGTON-MASTERTON AIL WAY TIME TABLE. NORTH. Miles. Station. Week Days. a.m Wellington dep. 7.20 *Kaiwarra ... 'Nga'ianga 7.85 Pctone L. Hutt ... 7.56 * Belmont ... * Haywards 8.20 Hilverstream 8.30 *Wallaeeville U. Hutt } ®rrt dep. 8.46 *Mungaroa Kaitoke { * rr ‘ 1 dep. 9.20 Summit ... 9.50 Cross Creek 10.16 *Pigeon Bush Featherston arr 1 0. 40 ... ...dp. 10.45 *Femside Woodaide 11.5 p.m. 4.25 4.58 5.10 5.20 6.35 5.45 0.10 6.15 0.45 7.10 7.35 7.40 7.35 Miles. SOUTH. Station. Masterton dep. ♦Kurupuni dep. Middleton dep. Clareville dep. Waak Days. a.m 7.80 p.m. 2.10 L ‘ Uutl 1 dp. 11.0 *Wallacevlledp Hilverstream dpll 1.10 6.35 5.0 6.50

SKIN DISEASES are of two kindi Firstly, those which are onl skin deep | which are not now to I considered) ; secondly, those w hie are caused by a bad state o: the l>loo< and which attack various parts of tl; body in different ways. Skin diseai show itself in the head, sometimes i the fonn of dandruff which no amnm of brushing and combing will get ri of, and sometimes in the form of sea eruptions. In the neck, by an enlerjp ment of the glands (commonly call* glandular swellings i, which if m checked becomeverv unsightly wound In the armpits, and the inside of tl elbows, by an inflamed roughness i tile skin, which is very painful whe washed. In the hands, by deep cracl or fissures, which, if healed for a fe days, speedily open again, or by horn; looking patches. In the legs, by hai skinny and inflamed swellings, or 1 wounds more or less deep. And o the body, in red scaly patches, whic as often as rubbed off, form again, i in the discharge of a thin, watery flui of a very disagreeable nature. In i these cases the treatment must be tw fold. An ointment required to relic telling, and medicine must he taki to change the state of the blood, ai render it pure. Both these reqtiir inents are supplied by Dr. Hols-rt celibrnted medicines, the ointine called '• The Poor Man's Friend," ai the pills, called Pilula- Anti Scrophu or Alterative I’ills. These two mtd cines have now stood the test of It years' trial, having been introduced the public in the latter part of the last century.

NOTICE. The “ Pahiatua star” win bo issued on Tuesdays and Fridays at 4 r.M. IT is a First-Class Medium for Advertisements, being thoroughly circulated amongst tlie Settlers of Pahiatua and Eketahuna. Everybody should support the Local ! Paper. Rates or Advertising : —8- per inch. One Insertion ; 2/- per inch subsequent insertions. Rirths, Deaths, and Marriages, 8/-. Standing Advertisements as per Arrangement. SETTLERS ok PAHIATUA and EKETAHUNA study your interests and subscribe with “Star,” which contains Articles on CURRENT TOPICS, LOCAL NEWS, TELEGRAPHIC NEWS, CABLE NEWS. Full reports of Meetings of Local Bodies, Entertainments, Ac. TERMS or SUBSCRIPTION, £1 per Annum pavablo in advance, or ti/fi per quarter booked. Ten per cent, charged on Account! over Three Months Subscribers Solicited. "STAR” OFFICE PAHIATUA. PAHIATUA STAR AND I EKETAHUNA ADVERTISER. Printing and Publishing OrricE, PAHIATUA. Jobbing Department. EVERY Description of Printing at Reasonable Rates. Promptitude, Neatness, and Despatch. Bupport Local Industries by lending ' your Printing to the " Star." All Kindsot Job Printing undertaken and executed promptly in the latest ; style. [ Bill heads, Memorandum Forms, Timber Delivery Books, Account Sales. Day Books. ! Receipt-Books, Bill-Books, Concert and Ball Tickets, Ball Programmes, Business Cards, Notice Forms. Circulars. Vouchers. Nomination Papers. Ballot Papers* Pamphlets. Balance Sheets, Entertainment Tickets. Posters, Ac. Support Local Industry and get your Printing done at the •• Stab'' Office. I ” STAB” OFFICE, PAHIATUA.

They may be obtained of all chemists, or of tbe proprietors, ! BEACH A BABMCOTT, Bridport. Dorset. Trice Is ljd, 2s ltd, 11s and 22s each. Postage Extra. Holloway s~ pills. THIS Great Household Medicine ranks amongst the leading necesj saries of life. These famous Pills punfy tbe Blood. 1 and set most powerfully, yet soothingly on tha Liver, Stomach. Kidneys, and Bowels, giving tone, energy, and vigour to these great Main Spminos of Lint. They are confidently recommended as a never-failing remedy in all cases where the constitntion. from whatever cause, has become unpaired and weakened. They are wonderfully . efficacious in all ailments incidental to ! Females of all ages ; and as a General Family Medicine, are unsurpassed. HOLLOWAY'S OINTMENT, i Its Searching and Healing Properties are known throughout the World. For the cure of Bad Legs. Bad Breasts. Old Wounds, Bores and I'lccr*. it is an infallible remedy. If effectually rubbed on the neck and chest, as salt into meat, it Curas Bore Throats, Bronchitis, Coughs. Colds, and oven Asthma. For Glandular Bwellings AWesaes. Piles, Fistulas, Gout, rheumatism. and every kind of Skin Disease it has never been known to fail. Tlie Pills and Ointment are manufactured only at 7H. New Oxford Bt., (late SSii Oxford Kt.) London ; And are sold bj all Vendors of Medicines, throughout ths Civilised World ; with directions for use in almost every language. should look at the I-aUI on the Pots and Boxes. If the address is not Sit Oxford Btruel, London. liiav araasorinns

57 * Haywar d* dp. 11.20 6.0 GO *llelmout dep. G 3 L. Hull dep. 11.45 6.25 64 Petone dep. ... ... 68 *N’haurangadp. ... 6.45 09 ’Kaiwarra dep. 71 Wellington ar. 12.20 7.0 ‘ Flag Station* stop by Signal only. Passengers wishing to alight at any o« the Stations must give notice to the Guard at the previous staiion. MAP OF WOODVILLE. COPIES of the above by Mr A. Jarman, can be obtained at the Eiuomu Book Shop, WfloduU*.

Permanent link to this item
Hononga pūmau ki tēnei tūemi

https://paperspast.natlib.govt.nz/newspapers/PSEA18860709.2.26.3

Bibliographic details
Ngā taipitopito pukapuka

Pahiatua Star and Eketahuna Advertiser, Volume 1, Issue 9, 9 July 1886, Page 4

Word count
Tapeke kupu
1,146

Page 4 Advertisements Column 3 Pahiatua Star and Eketahuna Advertiser, Volume 1, Issue 9, 9 July 1886, Page 4

Page 4 Advertisements Column 3 Pahiatua Star and Eketahuna Advertiser, Volume 1, Issue 9, 9 July 1886, Page 4

Help

Log in or create a Papers Past website account

Use your Papers Past website account to correct newspaper text.

By creating and using this account you agree to our terms of use.

Log in with RealMe®

If you’ve used a RealMe login somewhere else, you can use it here too. If you don’t already have a username and password, just click Log in and you can choose to create one.


Log in again to continue your work

Your session has expired.

Log in again with RealMe®


Alert