Thank you for correcting the text in this article. Your corrections improve Papers Past searches for everyone. See the latest corrections.

This article contains searchable text which was automatically generated and may contain errors. Join the community and correct any errors you spot to help us improve Papers Past.

Article image
Article image
Article image
Article image

MINOR PRIZES

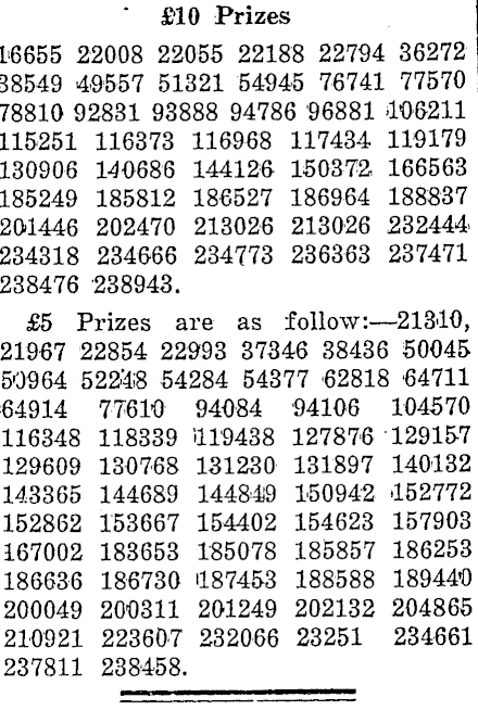
£10 Prizes 16655 22008 22055 22188 22794 36272 38549 49557 51321 54945 76741 77570 78810 92831 93888 94786 96881 106211 115251 116373 116968 117434 119179 130906 140686 144126 150372 166563 185249 185812 186527 186964 188837 201446 202470 213026 213026 232444 234318 234666 234773 236363 237471 238476 238943. £5 Prizes are as follow: — 21310, 21967 22854 22993 37346 38436 50045 50964 52248 54284 54377 62818 64711 64914 77610 94084 94106 104570 116348 118339 119438 127876 129157 129609 130768 131230 131897 140132 143365 144689 144849 150942 152772 152862 153667 154402 154623 157903 167002 183653 185078 185857 186253 186636 186730 187453 188588 189440 200049 200311 201249 202132 204865 210921 223607 232066 23251 234661 237811 238458.

Permanent link to this item
Hononga pūmau ki tēnei tūemi

https://paperspast.natlib.govt.nz/newspapers/RMPOST19461219.2.59

Bibliographic details
Ngā taipitopito pukapuka

Rotorua Morning Post, Issue 5282, 19 December 1946, Page 6

Word count
Tapeke kupu
114

MINOR PRIZES Rotorua Morning Post, Issue 5282, 19 December 1946, Page 6

MINOR PRIZES Rotorua Morning Post, Issue 5282, 19 December 1946, Page 6

Help

Log in or create a Papers Past website account

Use your Papers Past website account to correct newspaper text.

By creating and using this account you agree to our terms of use.

Log in with RealMe®

If you’ve used a RealMe login somewhere else, you can use it here too. If you don’t already have a username and password, just click Log in and you can choose to create one.


Log in again to continue your work

Your session has expired.

Log in again with RealMe®


Alert