Thank you for correcting the text in this article. Your corrections improve Papers Past searches for everyone. See the latest corrections.

This article contains searchable text which was automatically generated and may contain errors. Join the community and correct any errors you spot to help us improve Papers Past.

Article image
Article image
Article image
Article image
Article image
Article image

INCOME TAX ASSESSMENTS.

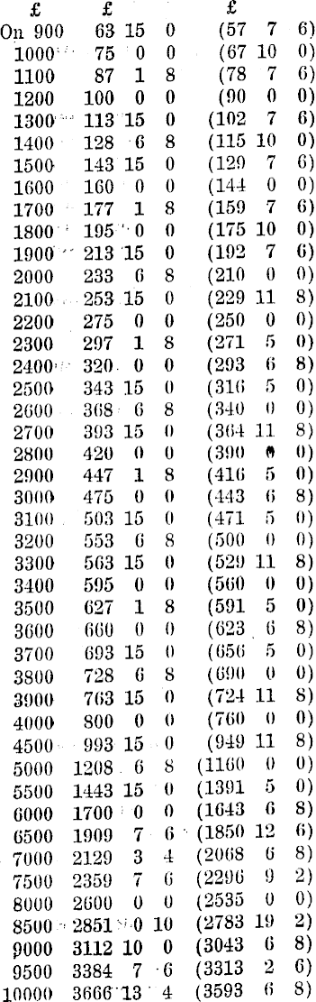
The following table, of income lax on pertain ineomes, issued by Mr D. G. Clark, Commissioner of Taxes, shows the inemne tax on “taxable” ineomes ranging from £9OO to £IO,OOO. On £OOO the rate per £1 is Is sd, increased thereafter by l-100d for each additional £1 in excess of £OOO, and reaching a rate of 5s 8d in the £1 at £6,000. On amounts in excess of £6,000 the rate per £1 is 5s Bd, increased thereafter by l-200d for each additional £1 in excess of £6,000, but so as not to exceed a maximum rate of 7s 4d in the £1 which is reached at £IO,OOO. The tax, if income unearned is shown in the second column. Income earned is less 10 per cent., as shown in parennthesis. (Note. — Where the “earned” income exceeds £2,000, this 10 per cent, reduction is only made in respect of that proportion of the total tax applicable to £2,000). Taxable income is the residue of assessable income after deducting the amount of all special exemptions to which the taxpayer is entitled.

£ £ £ On 900 63 15 0 (57 7 6) 1000 75 0 0 (67 10 0) 1100 87 1 8 (78 7 6) 1200 100 0 0 (90 0 0) 1300 113 15 0 (102 7 6) 1400 128 6 8 (115 10 0) 1500 143 15 0 (129 7 6) 1600 160 0 0 (144 0 0) 1700 177 1 8 (159 7 6) 1800 195 0 0 (175 10 0) 1900 213 15 0 (192 7 6) 2000 233 6 8 (210 0 f>) 2100 253 15 0 (229 11 8) 2200 275 0 0 (250 0 0) 2300 297 1 8 (271 5 0) 2400' 320 0 0 (293 6 8) 2500 343 15 0 (316 5 0) 2600 368 6 8 (340 0 0) 2700 393 15 0 (364 11 8) 2800 420 1) 0 (390 « 0) 2900 447 1 8 (416 5 0) 3000 475 0 0 (443 6 8) 3100 503 15 0 (471 5 0) 3200 553 6 8 (500 0 0) 3300 563 15 0 (529 11 8) 3400 595 0 0 (560 0 0) 3500 627 1 8 (591 5 0) 3600 660 0 0 (623 6 8) 3700 693 15 1) (656 5 0) 3800 728 6 8 (690 0 0) 3900 763 15 0 (724 11 8) 4000 800 0 0 (760 0 0) 4500 993 15 0 (949 11 8) 5000 1208 6 8 (1160 0 0) 5500 1443 15 0 (1391 5 0) 6000 1700 0 0 (1643 6 8) 6500 1909 7 6 (1850 12 6) 7000 2129 3 4 (2068 6 8) 7500 2359 7 (i (2296 9 2) 8000 2600 0 0 (2535 0 0) 8500 2851 0 10 (2783 19 2) 9000 3112 10 0 (3043 6 8) 9500 3384 7 6 (3313 2 6) 10000 3666 13 4 (3593 6 8)

Permanent link to this item
Hononga pūmau ki tēnei tūemi

https://paperspast.natlib.govt.nz/newspapers/MH19230522.2.26

Bibliographic details
Ngā taipitopito pukapuka

Manawatu Herald, Volume XLV, Issue 2583, 22 May 1923, Page 4

Word count
Tapeke kupu
490

INCOME TAX ASSESSMENTS. Manawatu Herald, Volume XLV, Issue 2583, 22 May 1923, Page 4

INCOME TAX ASSESSMENTS. Manawatu Herald, Volume XLV, Issue 2583, 22 May 1923, Page 4

Help

Log in or create a Papers Past website account

Use your Papers Past website account to correct newspaper text.

By creating and using this account you agree to our terms of use.

Log in with RealMe®

If you’ve used a RealMe login somewhere else, you can use it here too. If you don’t already have a username and password, just click Log in and you can choose to create one.


Log in again to continue your work

Your session has expired.

Log in again with RealMe®


Alert