Thank you for correcting the text in this article. Your corrections improve Papers Past searches for everyone. See the latest corrections.

This article contains searchable text which was automatically generated and may contain errors. Join the community and correct any errors you spot to help us improve Papers Past.

Article image
Article image

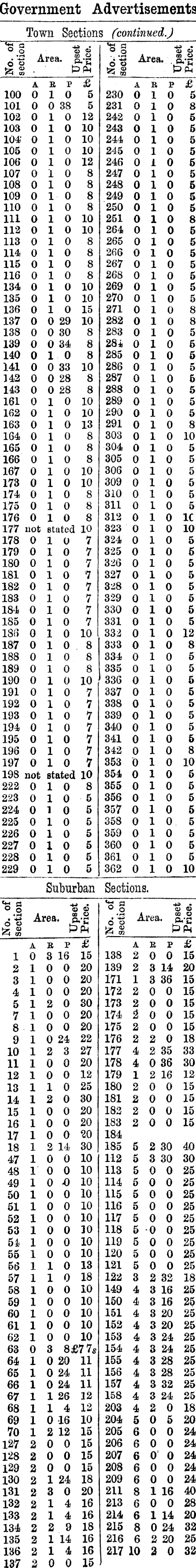
Government Advertisements Town Sections (continued.) i Area. g,g Area. .B,g A 100 0 101 0 038 5 231 0 102 0 1 0 12 242 0 103 0 1 0 10 243 0 104 0 1 0 10 244 0 105 0 1 0 10 245 0 106 0 1 0 12 246 0 107 0 1 0 8 247 0 108 0 1 0 8 248 0 109 0 1 0 8 249 0 110 0 1 0 8 250 0 111 0 1 0 10 251 0 112 0 1 0 10 264 0 113 0 1 0 8 265 0 114 0 1 0 8 266 0 115 0 1 0 8 267 0 116 0 1 0 8 268 0 134 0 1 0 10 269 0 135 0 1 0 10 270 0 136 0 1 0 15 271 0 137 0 029 10 282 0 138 0 0 30 139 0 0 34 140 0 1 0 141 0 033 10 286 0 142 0 0 28 143 0 0 28 230 0 283 0 284 0 285 0 161 0 1 0 10 289 0 162 0 1 0 10 290 0 163 0 1 0 13 291 0 164 0 1 0 165 0 1 0 166 0 10 287 0 288 0 303 0 304 0 305 0 167 0 1 0 10 306 0 173 0 1 0 10 309 0 174 0 1 0 8 310 0 175 0 1 0 8 311 0 176 0 1 0 8 312 0 177 not stated 10 323 0 178 0 1 0 7 324 0 179 0 1 0 7 325 0 180 0 1 0 7 326 0 181 0 1 0 7 327 0 182 0 1 0 7 328 0 183 0 1 0 7 329 0 184 0 10 7 330 0 185 0 1 0 7 331 0 186 0 1 0 10 332 0 187 0 1 0 8 333 0 188 0 10 8 334 0 189 0 1 0 8 335 0 190 0 1 0 10' 336 0 191 0 1 0 7 337 0 192 0 1 0 7 338 0 193 0 1 0 7 339 0 194 0 1 0 7 340 0 195 0 1 0 7 341 0 196 0 1 0 7 342 0 197 0 1 0 7 353 0 198 not stated 10 354 0 222 0 1 0 223 0 1 0 5 356 0 J 224 0 1 0 5 357 0 ] 225 0 1 0 5 358 0 1 226 0 1 0 5 359 0 : 227 0 1 0 5 360 0 : 228 0 1 0 5 861 0 ] 229 0 10 5 J 362 0 ] Suburban Sections. 355 0 Area. p,-S PPh 3 16 15 0 0 20 0 0 20 0 0 20 2 0 30 0 0 20 0 0 20 0 24 22 2 3 27 0 0 20 0 0 12 1 0 25 2 0 30 0 0 20 0 0 20 0 0 20 2 14 30 0 0 10 0 0 10 0 -0 10 0 0 10 0 0 10 0 0 10 0 0 10 0 0 10 0 0 10 1 0 13 1 0 18 0 0 10 0 0 10 0 0 10 0 0 10 0 0 10 3 B£77 s 0 20 11 0 24 11 0 24 11 1 26 32 1 4 12 0 16 10 2 12 15 0 0 15 0 0 15 0 0 15 1 24 18 3 0 20 1 4 16 1 4 16 2 9 18 1 14 16 1 4 16 0 0 15 A E 138 2 0 0 15 139 2 3 14 20 171 1 336 15 172 2 0 0 15 173 2 0 0 15 174 2" 0 0 15 175 2 0 0 15 176 22 0 18 177 4 2 35 33 178 4 0 36 30 179 1 2 16 12 180 2 0 0 15 181 2 0 0 15 182 2 0 0 15 183 2 0 0 15 184 185 5 2 30 40 112 5 330 30 113 5 0 0 25 114 5 0 0 25 115 5 0 0 25 116 5 0 0 25 117 5 0 0 25 118 5 0 0 25 119 5 0 0 25 120 5 0 0 25 121 5 0 0 25 122 3 2 32 18 149 4 3 16 25 150 4 3 16 25 151 4 3 20 25 152 4 3 20 25 153 4 3 24 25 154 4 3 24 25 155 4 3 28 25 156 4 328 25 157 4 3 32 25 158 4 3 24 25 203 4 2 0 18 204 5 0 5 20 205 6 0 0 24 206 6 0 0 24 207 6 0 0 24 208 6 0 0 24 209 6 0 0 24 211 8 1 16 40 213 6 0 0 28 214 6 1 14 20 215 8 0 24 32 216 6 2 20 25 217 10 2 0 32

Permanent link to this item
Hononga pūmau ki tēnei tūemi

https://paperspast.natlib.govt.nz/newspapers/HBT18700324.2.2.3

Bibliographic details
Ngā taipitopito pukapuka

Hawke's Bay Times, Volume 15, Issue 772, 24 March 1870, Page 1

Word count
Tapeke kupu
879

Page 1 Advertisements Column 3 Hawke's Bay Times, Volume 15, Issue 772, 24 March 1870, Page 1

Page 1 Advertisements Column 3 Hawke's Bay Times, Volume 15, Issue 772, 24 March 1870, Page 1

Help

Log in or create a Papers Past website account

Use your Papers Past website account to correct newspaper text.

By creating and using this account you agree to our terms of use.

Log in with RealMe®

If you’ve used a RealMe login somewhere else, you can use it here too. If you don’t already have a username and password, just click Log in and you can choose to create one.


Log in again to continue your work

Your session has expired.

Log in again with RealMe®


Alert