Thank you for correcting the text in this article. Your corrections improve Papers Past searches for everyone. See the latest corrections.

This article contains searchable text which was automatically generated and may contain errors. Join the community and correct any errors you spot to help us improve Papers Past.

Article image
Article image
Article image
Article image

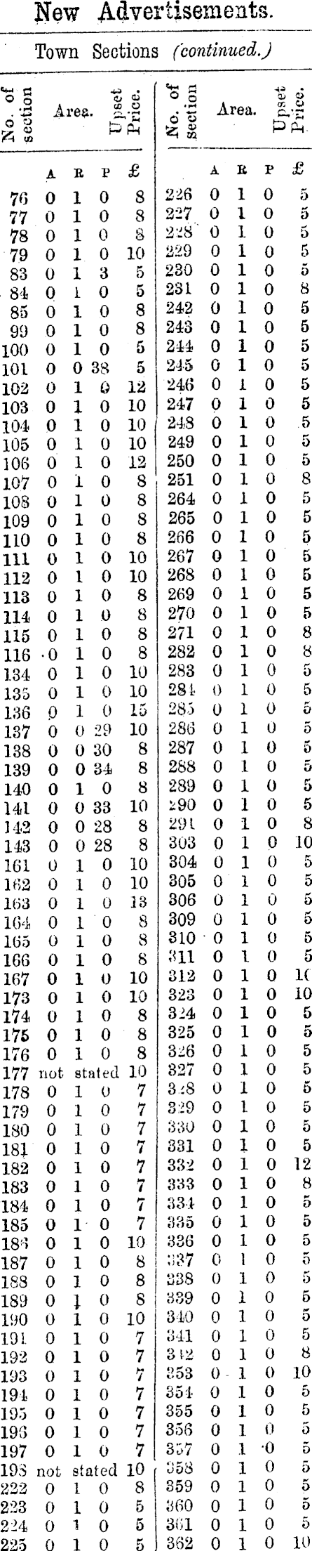
New Advertisements. Town Sections (continued.) 76 0 10 8 226 0 77 0 1 0 8 327 0 78 0 1 0 8 228 0 79 0 1 0 10 229 0 830 1 3 5 230 0 84 0 1 0 5 231 0 85 0 1 0 8 242 0 99 0 1 0 8 243 0 100 0 10 5 244 0 101 0 038 5 245 0 102 0 1 0 12 246 0 103 0 1 0 10 247 0 104 0 1 0 10 248 0 105 0 1 0 10 249 0 106 010 12 250 0 107 0 10 8 251 0 108 0 1 0 8 264 0 109 0 1 0 8 265 0 110 0 1 0 8 266 0 111 0 1 0 10 267 0 112 0 I 0 10 268 0 113 0 1 0 8 269 0 114 0 10 8 270 0 115 0 1 0 8 271 0 116 -0 10 8 282 0 134 0 1 0 10 283 0 135 0 1 0 10 281. 0 136 0 1 0 15 285 0 137 0 0 29 10 286 0 138 0 030 8 287 0 139 0 034 8 288 0 140 0 1 0 8 289 0 141 0 033 10 *9O 0 142 0 028 8 291 0 143 0 028 8 303 0 161 0 I 0 10 304 0 162 0 1 0 10 305 0 163 0 1 0 13 306 0 164 0 10 8 309 0 165 0 10 8 310 0 166 0 1 0 8 311 0 167 0 1 0 10 312 0 173 0 1 0 10 323 0 174 0 1 0 8 324 0 175 0 1 0 8 325 0 176 0 1 0 8 326 0 177 not stated 10 327 0 178 0 1 0 7 3;S 0 179 0 1 0 7 329 0 180 0 10 7 330 0 181 0 1 0 7 331 0 182 0 1 0 7 332 0 183 0 10 7 333 0 184 0 10 7 334 0 185 0 1 0 7 335 0 186 0 1 0 10 336 0 187 0 1 0 8 337 0 188 0 10 8 338 0 189 0 J 0 8 339 0 190 0 1 0 10 340 0 191 0 1 0 7 341 0 192 0 10 7 3S-20 193 0 10 7 353 0 194 0 10 7 351. 0 195 0 10 7 355 0 196 0 10 7 356 0 197 0 1 0 7 357 0 193 not stated 10 r 0 222 0 10 8 359 0 223 0 10 5 360 0 224 0 1 0 5 301 0 225 0 1 0 5 362 0

Suburban Sections. 0 316 15 13S 2 1 0 0 20 139 2 1 0 0 20 171 1 1 0 0 20 172 2 2 0 30 173 2 1 0 0 20 174 2 1 0 0 20 175 2 1 024 22 176 2 1 2 3 27 177 4 1 0 0 20 178 4 1 0 0 12 179 1 1 1 0 25 180 2 1 2 0 30 181 2 10 0 20 182 2 1 0 0 20 183 2 1 0 0 20 184 1 2 14 30 185 5 1 0 0 10 112 5 1 0 0 10 113 5 1 0 0 10 114 5 1 0 0 10 115 5 1 0 0 10 116 5 1 0 0 10 117 5 1 0 0 30 118 5 1 0 0 10 119 5 1 0 0 10 120 5 1 1 0 13 121 5 1 1 0 18 122 3 1 0 0 10 149 4 1 0 0 10 150 4 10 0 10 151 4 1 0 0 10 152 4 1 0 0 10 153 4 0 3 Sills 154 4 1 020 11 155 4 1 024 11 156 4 1 024 11 157 4 1 126 12 158 4 1 1 4 12 203 4 1 0 16 10 204 5 1 212 15 205 6 2 0 0 15 206 6 2 0 0 15 207 6 2 0 0 15 208 6 2 124 18 209 6 2 3 0 20 211 8 2 1 4 16 213 6 2 i 4 16 214 6 3 2 9 18 215 8 2 1 14. 16 216 6 2 \ 4 16 217 10 2 0 0 15

Permanent link to this item
Hononga pūmau ki tēnei tūemi

https://paperspast.natlib.govt.nz/newspapers/HBT18700224.2.7.2

Bibliographic details
Ngā taipitopito pukapuka

Hawke's Bay Times, Volume 15, Issue 764, 24 February 1870, Page 2

Word count
Tapeke kupu
777

Page 2 Advertisements Column 2 Hawke's Bay Times, Volume 15, Issue 764, 24 February 1870, Page 2

Page 2 Advertisements Column 2 Hawke's Bay Times, Volume 15, Issue 764, 24 February 1870, Page 2

Help

Log in or create a Papers Past website account

Use your Papers Past website account to correct newspaper text.

By creating and using this account you agree to our terms of use.

Log in with RealMe®

If you’ve used a RealMe login somewhere else, you can use it here too. If you don’t already have a username and password, just click Log in and you can choose to create one.


Log in again to continue your work

Your session has expired.

Log in again with RealMe®


Alert